Menu

Bio Specialties

Home / Products / Chemicals / Bio Specialties
image
image
Showing 1–18 of 24 results
MERCK-SIGMA - 870130P-1MG - 18:0 azidoethyl PC Bio Specialties
MERCK-SIGMA - 870130P-5MG - 18:0 azidoethyl PC Bio Specialties
MERCK-SIGMA - 870133P-1MG - 18:0-16:0(16-Azido) PC Bio Specialties
MERCK-SIGMA - 870133P-5MG - 18:0-16:0(16-Azido) PC Bio Specialties
MERCK-SIGMA - 870294P-10MG - 18:0 PE Square Bio Specialties
MERCK-SIGMA - 870294P-25MG - 18:0 PE Square Bio Specialties
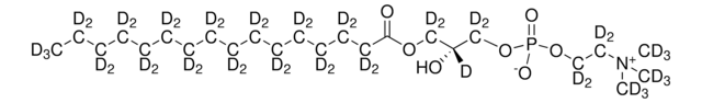
MERCK-SIGMA - 870307P-1MG - 16:0 rac PC-d80 Bio Specialties
MERCK-SIGMA - 870307P-5MG - 16:0 rac PC-d80 Bio Specialties
MERCK-SIGMA - 870308P-1MG - 16:0 lyso PC-d49 Bio Specialties
MERCK-SIGMA - 870308P-5MG - 16:0 lyso PC-d49 Bio Specialties
MERCK-SIGMA - 870413C-1MG - 18:1 PE-benzylguanine Bio Specialties
MERCK-SIGMA - 870413C-5MG - 18:1 PE-benzylguanine Bio Specialties
MERCK-SIGMA - 870620P-25MG - ACe-1 Bio Specialties
MERCK-SIGMA - 870620P-5MG - ACe-1 Bio Specialties
MERCK-SIGMA - 870621P-25MG - 18:0-PhoDAG Bio Specialties
MERCK-SIGMA - 870621P-5MG - 18:0-PhoDAG Bio Specialties
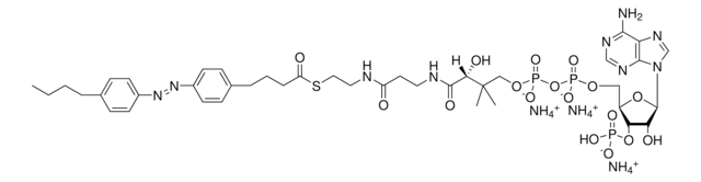
MERCK-SIGMA - 870622P-25MG - 18:0-azo PC Bio Specialties
MERCK-SIGMA - 870622P-5MG - 18:0-azo PC Bio Specialties
MERCK-SIGMA - 870624P-1MG - Azo Coenzyme A Bio Specialties
MERCK-SIGMA - 870624P-5MG - Azo Coenzyme A Bio Specialties
jaleel Manager Chat
ali Designer Chat
mohsin Developer Chat
Cart (0)

Your Cart is empty