Menu

Chemicals

Home / Products / Chemicals
image
image
Showing 1–18 of 24 results
Poly(1,1,1,3,3,3-hexafluoroisopropyl methacrylate) Materials Science
Poly(2,2,3,3-tetrafluoropropyl methacrylate) Materials Science
Poly(pentafluorostyrene) Materials Science
Poly(2,2,3,3,3-pentafluoropropyl methacrylate) Materials Science
Pentabromophenyl methacrylate Materials Science
Poly(pyromellitic dianhydride-co-4,4?-oxydianiline), amic acid solution Materials Science
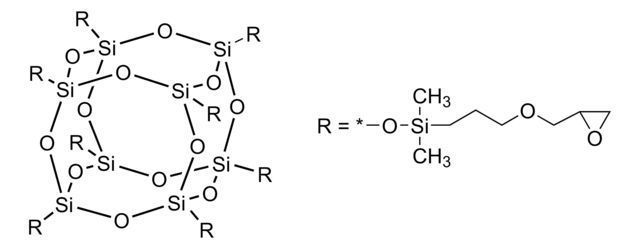
PSS-Octa[(3-glycidyloxypropyl)dimethylsiloxy] substituted Materials Science
Poly[(p-phenylenevinylene)-alt-(2-methoxy-5-(2-ethylhexyloxy)-p-phenylenevinylene)] Materials Science
Di(propylene glycol) dibenzoate Materials Science
Potassium p-toluenethiosulfonate Materials Science
Poly(fluorescein isothiocyanate allylamine hydrochloride) Materials Science
jaleel Manager Chat
ali Designer Chat
mohsin Developer Chat